電容器類型和電容器有各種形狀、尺寸、長度和周長,以及各種材料。至少兩個電導體(稱為板)由每個導體中的絕緣層(稱為電介質)隔開。許多典型的電子設備使用電容器作為其電路的一部分。

電容器與電阻器和電感器一起被視為電氣設備中的無源元件。盡管集成電容器在絕對數量上是最常見的(例如,在DRAM或閃存體系結構中),但本文主要關注許多類型的離散電容器。
小型電容器用于電子設備,用于連接放大器級之間的信號,作為電子濾波器和調諧電路的部件,并平滑電源系統中的整流電流。較大的電容器可用于頻閃燈中的儲能,作為某些類型電機的部件,以及交流配電系統中的功率因數調節??烧{電容器廣泛應用于調諧電路中,因為標準電容器具有固定的電容值。根據所需電容、工作電壓、電流處理能力和其他特性使用不同類型。
什么是電容器:
電容器是以磁場形式存儲電能的無源元件。電容是電容效應的術語。它由兩個由電介質材料隔開的緊密間隔的導體組成。當極板連接到電源時,電荷將積聚在極板上。正電荷積聚在一個極板上,負電荷積聚在另一個極板上。
電容是一個用來描述電容器效應的術語。雖然電路中任何兩個相鄰的電導體之間都有一些電容,但電容器是專門設計用于向電路中添加電容的元件。傳統上,電容器被稱為電容器或電容器。許多語言繼續使用這個詞及其同源詞,但英語是一個明顯的例外。實用電容器有多種形狀和尺寸,使用的電容器類型也多種多樣。在大多數電容器中,電介質將至少兩個導電體隔開,通常是金屬板或表面。箔、薄片、燒結金屬珠或電解質可用作導體。非導電電介質增加了電容器的充電容量。玻璃,
許多典型的電子設備使用電容器作為其電路的一部分。與電阻器不同,理想電容器不會耗散能量,但現實生活中的電容器會耗散能量。當電容器的端子之間實現電位差(電壓)時,例如當電容器連接到電池時,電場開始在電介質上產生,產生凈正電荷并積聚在板上,同時產生凈負電荷以對另一方充電。沒有電流流過電介質。另一方面,源電路具有電荷流。如果該狀態持續很長時間,流過電源電路的電流將停止。當電容器引線上提供時變電壓時
操作理論:
電容器是以磁場形式存儲電能的無源元件。電容是電容效應的術語。它由兩個由電介質材料隔開的緊密間隔的導體組成。當極板連接到電源時,電荷將積聚在極板上。正電荷積聚在一個極板上,負電荷積聚在另一個極板上。
兩個導體由電容器中的非導電區域隔開。真空或稱為電介質的電絕緣材料可用作非導電區域。玻璃、空氣、塑料、紙張、陶瓷,甚至化學性質類似于導體的半導體耗盡區都是電介質的例子。根據庫侖定律,一根導體上的電荷對另一根導體中的載流子施加力,吸引極性相反的電荷,排斥極性相似的電荷,從而在另一根導體表面形成極性相反的電荷。在其相對的表面上,導體攜帶相等和相反的電荷,電介質產生電場。
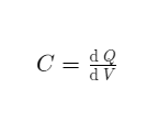
理想電容器由恒定電容C來描述,其確定為每個導體上的正電荷或負電荷Q與SI系統中的電壓V之比(單位:法拉):

法拉第(f)電容意味著每個導體上的1庫侖電荷將在設備上產生1伏的電壓。導體(或板)上的相反電荷由于其電場而相互吸引,使得電容器在給定電壓下比導體分離時保留更多電荷,從而產生更大的電容。實際設備中的電荷積累會機械地改變電容器,導致其電容的變化。在這種情況下,電容以增量變化為特征:

電容器類型:以下是各種類型的電容器:
·電解電容器
·紙電容器
·云母電容器
·非極化電容器
·薄膜電容器
·陶瓷電容器
1、電解電容器
當需要較大的電容值時,通常使用電解液電容器。一個電極采用薄金屬膜,第二個電極(陰極)采用膠體或糊狀半液體電解質溶液。電介質板是一層薄薄的氧化物,在制造過程中通過電化學方法產生,膜厚度小于10微米。由于絕緣層非常薄,因此可以用較小的物理尺寸和兩個極板之間的短距離構造具有大電容的電容器。大多數電解電容器都有極性,這意味著極性必須正確,才能在電容器端子上提供直流電壓。
如果正極與正極連接,負極與負極連接,則會損壞絕緣氧化層,導致無法修復的損壞。所有極性電解電容器的極性都清楚地用負號標記,以指示負極端子,并且必須遵守極性。電解電容器因其容量大、紋波電壓降低小而被廣泛應用于直流電源電路中。耦合和去耦是電解電容器的兩種應用。電解電容器由于極化而具有較低的額定電壓,這是一個缺點。
2、紙電容器
起初,電容器的兩片箔之間使用紙張,但現在使用了不同的材料,如塑料;因此,它被稱為紙電容器。紙電容器的電容范圍為0.001至2.000微法拉,電壓范圍高達2000V。
3、云母電容器
云母銀電容器使用由一組天然礦物組成的電介質。箝位電容器和云母銀電容器是兩種云母電容器。由于性能差,夾持云母電容器被認為是過時的。云母銀電容器是用金屬涂層夾住兩側的云母片,并用環氧樹脂包裹,以保護其免受各種因素影響而制成的。設計中使用的云母電容器需要一個體積小、穩定可靠的電容器。
云母電容器是一種低損耗的高頻電容器。由于其特殊的晶體結構和層狀結構,它們在化學、電學和物理上都是穩定的。白云母和金云母是最常用的云母。白云母具有優異的電性能,另一種云母具有耐高溫性。
4、非極性電容器
塑料箔無極性電容器和無極性電解電容器是兩種無極性電容器。塑料箔電容器基本上是非極性的,而電解電容器通常是兩個背靠背串聯的電容器,這導致了非極性電容器一半的電容。非極性電容器需要與信號或電源串聯或并聯的交流應用。揚聲器分頻濾波器和功率因數校正網絡是兩個例子。在這兩種應用中,一個重要的交流電壓信號被放置在電容器的兩端。
5、薄膜電容器
薄膜電容器是以塑料薄膜介質為介質的電容器。使用精確的薄膜拉伸方法,使薄膜電容器變得非常薄。如果制成薄膜,可根據電容器的質量對其進行金屬化。添加和組裝電極,以防止環境因素。
聚酯膜、聚丙烯膜、金屬化膜、PTE膜和聚苯乙烯膜是許多可用薄膜電容器的組成部分。用作電介質的材料是各種電容器類型的主要區別,應根據其質量仔細選擇電介質。薄膜電容器由于其穩定性、低電感和低成本而被使用。PTE薄膜電容器的耐熱性用于航空航天和軍事技術。金屬化聚酯薄膜電容器用于需要長期穩定性且成本合理的場合。
6、陶瓷電容器
陶瓷電容器是使用陶瓷作為介電材料的電容器。陶瓷是電容器制造中最早用作絕緣體的材料之一。陶瓷電容器有許多設計,包括陶瓷管電容器和阻擋電容器,由于其尺寸、寄生效應或電氣特性而過時。多層陶瓷電容器(MLCC)和陶瓷盤電容器是兩種最流行的陶瓷電容器形式。
表面貼裝(SMD)技術用于制造多層陶瓷電容器,由于其體積小而被廣泛使用。陶瓷電容器的值通常在1NF和1f之間,最高可達100F。陶瓷盤電容器是通過在陶瓷盤上涂覆兩個銀觸點形成的。這些器件由多層組成,以實現更高的電容。

