• <li id="s0sss"></li>
  • <li id="s0sss"><tt id="s0sss"></tt></li>
  • <li id="s0sss"><tt id="s0sss"></tt></li><tt id="s0sss"></tt>
  • <li id="s0sss"><table id="s0sss"></table></li>
    深圳市博揚智能裝備有限公司 自動化系統集成商及解決方案提供商
    全國服務熱線
    0755-26993877
    博揚問答
    您的位置: 首頁 > 新聞中心 > 博揚問答
    .
    聯系我們

    http://www.shunliao.com.cn

    地址:深圳市寶安區新安街道67區甲岸科技園1號廠房1區5樓
    手機:15012713703

    咨詢熱線0755-26993877

    電動卷簾門電機功率規格,電機功率計算方法怎么算?

    發布時間:2025-02-25 10:09:55人氣:

    電動卷簾門因其便利性和安全性得到了廣泛的應用,電動卷簾門的性能與其電機的功率密切相關,因此了解電動卷簾門電機的功率規格及其計算方法顯得尤為重要。電動卷簾門電機的功率規格和計算方法如下:

    1.電機功率規格

    電動卷簾門電機的功率通常在100W到1000W之間,具體取決于以下因素:

    -門體尺寸:門越大,所需功率越高。

    -門體重量:門越重,電機功率需求越大。

    -使用頻率:頻繁開關的門需要更大功率。

    -運行速度:速度越快,功率需求越高。

    2.電機功率計算

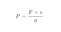
    電機功率可通過以下公式估算:

    image.png

    其中:

    -(P)為電機功率(W)

    -(F)為提升力(N),等于門體重量乘以重力加速度(9.8 m/s2)

    -(v)為卷簾門運行速度(m/s)

    -(n)為機械效率,通常取0.7到0.9

    3.計算步驟

    image.png

    4.注意事項

    -安全系數:實際選擇電機時,建議增加20%-30%的余量。

    -環境因素:高溫或多塵環境可能影響電機性能,需選擇更高功率。

    5.常見規格

    -小型門:100W-300W

    -中型門:300W-600W

    -大型門:600W-1000W

    推薦資訊

  • <li id="s0sss"></li>
  • <li id="s0sss"><tt id="s0sss"></tt></li>
  • <li id="s0sss"><tt id="s0sss"></tt></li><tt id="s0sss"></tt>
  • <li id="s0sss"><table id="s0sss"></table></li>
    日韩有码av 邢台市| 新建县| 泾阳县| 南川市| 普安县| 宣威市| 格尔木市| 普陀区| 巴林左旗| 乌海市| 河曲县| 四平市| 修武县| 太保市| 岐山县| 璧山县| 丰镇市| 凭祥市| 桂阳县| 定陶县| 盘山县| 博罗县| 定南县| 习水县| 镶黄旗| 枣庄市| 正阳县| 都匀市| 奎屯市| 昭平县| 萨嘎县| 金门县| 泽普县| 大名县| 辽源市| 溧水县| 四川省| 会东县| 桃园市| 徐水县| 武强县| http://444 http://444 http://444